In Flames The Jester Race
» Back to review

Comments:Add a Comment 
darkthrone1
December 6th 2012


387 Comments


jesus, you must love this

ViperAces
December 6th 2012


12609 Comments

Album Rating: 4.5

cap'n whats your fav of all time?

Havey
December 6th 2012


12320 Comments

Album Rating: 3.0

good choiz

XcKyle93
January 13th 2013


135 Comments

Album Rating: 5.0

Instant 5. So catchy and brutal...

Keyblade
January 13th 2013


30810 Comments

Album Rating: 4.5

december flower still has my favorite solo of all time

XcKyle93
January 13th 2013


135 Comments

Album Rating: 5.0

Meh, just because it has beautiful melodies and lacks guttural vocals doesn't mean it's not brutal. Then again, maybe "brutal" is a word that is thrown around too much in metal music.

JohnnyoftheWell
January 13th 2013


64287 Comments

Album Rating: 3.9

"december flower still has my favorite solo of all time"

Oh yeah, that solo is mindblowing (I still prefer the Hive's tho, and I like Coerced Coexistance's almost as much)

ViperAces
January 13th 2013


12609 Comments

Album Rating: 4.5

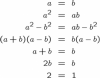
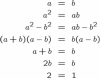
@XcKyle93

your avi is wrong because:

if a = b then a-b=0, and you cant divide by zero both collums as you did in the fourth line

XcKyle93
January 13th 2013


135 Comments

Album Rating: 5.0

ViperAces, good job!



The point of my avatar is that it's blatantly wrong, though those who aren't as math savvy may not pick up on the error at first.

branflakes911
January 14th 2013


173 Comments

Album Rating: 5.0 | Sound Off

I found this arithmetical interlude quite enjoyable. Also, have to agree about December Flower - I find myself recreating this solo in my head so often, it just comes to me out of the blue. Definitely a unique album.

ViperAces
January 14th 2013


12609 Comments

Album Rating: 4.5

i feel smart now

Killerhit
January 14th 2013


6016 Comments


dude your grammar is so rad

Deathconscious
January 14th 2013


27884 Comments

Album Rating: 4.5

spelling =/= grammar

ViperAces
January 14th 2013


12609 Comments

Album Rating: 4.5

me?

Deathconscious
January 14th 2013


27884 Comments

Album Rating: 4.5

killer

Progger6009
January 31st 2013


1144 Comments


In Flames we trust.

XingKing
January 31st 2013


16338 Comments

Album Rating: 4.5

The first three albums are all great and of almost equal quality, so don't feel bad.

XingKing
January 31st 2013


16338 Comments

Album Rating: 4.5

Breathe and take it slow.

JohnnyoftheWell
January 31st 2013


64287 Comments

Album Rating: 3.9

But dude, I'm like the resident Whoracle fanboy, why is this happening? Have I been poisoned?





It's ok, I'll take over from you

JohnnyoftheWell
January 31st 2013


64287 Comments

Album Rating: 3.9

Also, basically all the songs here sound the same, so if one grows a bit on you, they all do



You have to be logged in to post a comment. Login | Create a Profile





STAFF & CONTRIBUTORS // CONTACT US

Bands: A B C D E F G H I J K L M N O P Q R S T U V W X Y Z


Site Copyright 2005-2023 Sputnikmusic.com
All Album Reviews Displayed With Permission of Authors | Terms of Use | Privacy Policy